Технологическая карта урока по алгебре в 9 классе «Решение рациональных неравенств»
| Цели деятельности преподавателя | Повторить алгоритм решения рациональных неравенств; научить решать задания, сводящиеся к решению рациональных неравенств более высокого уровня сложности. |
| Тип урока | Обобщение и систематизация знаний |
| Планируемые образовательные результаты |
Предметные: знать понятие “рациональное неравенство”, алгоритм решения рационального неравенства, знать свойство арифметического квадратного корня; уметь решать любые рациональные неравенства; уметь разлаживать квадратный трёхчлен на линейные множители. Личностные: формирование ответственного отношения к успешной учебной деятельности. Метапредметные: регулятивные - уметь прогнозировать ситуацию, планировать свою деятельность, осуществлять самоконтроль и самооценку, работать по правилу, алгоритму, аналогии; коммуникативные - уметь взаимодействовать с другими учащимися, слушать, вести диалог, аргументировано высказывать свои суждения; познавательные - уметь применять знания по заданной теме, анализировать ситуацию, делать выводы, обобщать материал |
| Основные понятия |
Рациональное неравенство, алгоритм решения рационального неравенства, разложение квадратного трёхчлена на линейные множители, свойство арифметического квадратного корня.
|
| Ресурсы | Учебник, презентация, карточки, онлайн-сервисы |
| Организация пространства | Фронтальная, индивидуальная, групповая |
| Технология проведения | Деятельность преподавателя | Задания для учащихся, выполнение которых приведет к достижению запланированных результатов | Деятельность учащихся | Планируемые результаты | |
| предметные | универсальные учебные действия (УУД) | ||||
| 1.Организационный момент. Цели: создать настрой для занятия; информировать о подготовке к уроку
| Приветствует учащихся, отмечает их готовность к проведению урока.
| Подготовка к уроку, концентрация внимания.
| Слушают преподавателя, выполняют требования преподавателя
| Осознавать необходимость дисциплинарного взаимодействия учителя и учащихся | Регулятивные: уметь ориентироваться в требованиях к уроку математики |
| 2. Актуализация опорных знаний. Цели: создать условия для повторения основных понятий предыдущих уроков | Организует работу по решению заданий и повторению алгоритма решения рациональных неравенства Подводит учащихся к формулированию темы урока.
| Решить задания на доске и в тетрадях, прокомментировать решения. (см. Приложение 1 к уроку) Повторение изученного алгоритма решения рациональных неравенств | Четыре ученика решают задания на доске, остальные в тетрадях. Проговаривают алгоритм решения рациональных неравенств. Формулируют тему урока.
| Знать алгоритм решения рациональных неравенств. | Познавательные: уметь ориентироваться в своей системе знаний, структурировать знания. Коммуникативные: уметь формулировать известные правила в устной и письменной формах |
| 3. Рассмотрение основных понятий Цели: обеспечить выполнение учащимися базовых учебных действий; организовать работу по решению заданий | Задает вопросы, корректирует ответы. Устанавливает тематические рамки | Устная фронтальная работа по заданиям презентации (см. Приложение 2 к уроку) | Решить устно задания презентации и прокомментировать решения (некоторые решения можно представить на доске) | Знать об изображении решений рациональных неравенств на координатном луче, в виде интервала, полуинтервала, отрезка | Коммуникативные: уметь высказывать мысли на заданную тему, оформлять свои высказывания в устной форме Регулятивные: уметь выполнять действия по аналогии. Личностные: уметь продемонстрировать свои достижения |
| 4.Создание проблемной ситуации. Работа в группах Цели: создать условия для формирования внутренней потребности учеников во включение в учебную деятельность; развивать умение устанавливать тематические рамки | Создает условия для проблемного обучения. Задает вопросы, корректирует ответы. Устанавливает тематические рамки | Решить неравенство карточки (см. Приложение 3 к уроку)
| Выполняют решение заданий по группам, консультируются с преподавателем о ходе решения Один из учащихся группы оформляет решение на доске | Знать алгоритм решения рационального неравенства, свойства арифметического квадратного корня | Коммуникативные: уметь формулировать мысли на заданную тему и представлять в устной форме |
| 5. Рефлексия учебной деятельности. Цель: зафиксировать содержание урока; организовать рефлексию и самооценку учениками собственной учебной деятельности | Организует фиксирование изученного материала, рефлексию, самооценку учебной деятельности | Ответить на вопросы: - С какими затруднениями столкнулись? - Что было непонятно? - Оцените свои знания по данной теме по количеству набранных баллов. (см. Приложение 4 к уроку) | Отвечают на вопросы преподавателя. излагают, что повторили, узнали, смогли выполнить. Осуществляют самооценку | Уметь самостоятельно решать задания по теме. Анализировать и оценивать собственную учебную деятельность | Регулятивные: уметь оценивать правильность выполнения собственных действий. Личностные: уметь осуществлять самооценку на основе критерия успешности учебной деятельности |
| 6. Подведение итогов учебной деятельности, домашнее задание. Цель: выставить оценки по итогам урока | Выставляет оценки с комментированием успешных и неуспешных действий учащихся | Домашнее задание: Пройти онлайн- тестирование (см. Приложение 5)
| Слушают учителя, записывают домашнее задание, задают вопросы по необходимости | Уметь выявлять аналогию предметных действий | Регулятивные: уметь прогнозировать ситуацию. Личностные: уметь выполнять оценку и самооценку деятельности |
Ресурсный материал к уроку
Приложение 1.
№1 Решить неравенства
а)
б)
в)
г)
Приложение 2. Задания презентации
№1 УКАЖИТЕ РЕШЕНИЕ НЕРАВЕНСТВА
№2 УКАЖИТЕ РЕШЕНИЕ НЕРАВЕНСТВА
№3 УКАЖИТЕ РЕШЕНИЕ НЕРАВЕНСТВА
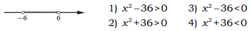
№4 УКАЖИТЕ НЕРАВЕНСТВО, РЕШЕНИЕ КОТОРОГО ИЗОБРАЖЕНО НА РИСУНКЕ
№5 УКАЖИТЕ НЕРАВЕНСТВО, РЕШЕНИЕМ КОТОРОГО ЯВЛЯЕТСЯ ЛЮБОЕ ЧИСЛО
№6 УКАЖИТЕ НЕРАВЕНСТВО, КОТОРОЕ НЕ ИМЕЕТ РЕШЕНИЙ
| Приложение 3. Карточки для работы в группе
Карточка 1 Решить неравенство
Карточка 2 Решите неравенство
Карточка 3 Решите неравенство
Карточка 4 Найти область определения выражения
Карточка 5 Решить неравенство
| Приложение 4. Заполните таблицу и оцените свои знания по данной теме
|
Приложение 5. Ссылки для прохождения тестовых заданий
Уровень «3» https://learningapps.org/display?v=p4dbr0act21
Уровень «4» https://learningapps.org/display?v=pfprq00jc21
Уровень «5» https://learningapps.org/display?v=p1hoytcsc21


Технологическая карта урка по алгебре в 9 классе "Решение рациональных уравнений" 